背景:我國南京鼓樓醫院通過干細胞治療難治性狼瘡患者后臨床改善的報告促使我們對經6個月的免疫抑制治療難治的患者進行臍帶來源的MSC的探索性I期試驗。
方法:由于我國取得了令人鼓舞的結果,美國南卡羅來納醫科大學醫學系風濕科從小鼠模型開始對狼瘡中的間充質干細胞進行研究,證明來自人類對照的間充質干細胞在減少腎臟疾病方面的功效。該I期試驗使用了同種異體間充質干細胞,因為來自狼瘡患者的自體間充質干細胞的免疫活性不如同種異體間充質干細胞。
在一項針對自體骨髓間充質干細胞的有限研究中,兩名狼瘡患者并未對其疾病產生有益影響。由于缺乏MSC療效的明確證據以及非亞洲患者的安全性數據,美國南卡羅來納醫科大學醫學系風濕科在多種族隊列中進行了難治性狼瘡治療的I期安全性試驗,作為更大規模的II期療效試驗的墊腳石。評估安全性和潛在的機械效應是開發新療法的重要的第一步。

6名SLEDAI>6且標準護理治療失敗的女性接受了一次靜脈輸注1×106MSCs/kg 體重。他們維持目前的免疫抑制劑,但他們的醫生被允許最初調整皮質類固醇以控制癥狀。臨床終點是SRI為4,沒有新的不列顛群島狼瘡活動指南 (BILAG) As,并且在20周內將潑尼松逐漸減量至10mg或更少時,醫生總體評估評分沒有增加>0.3。
結果:6名患者中,5名(83.3%;95%CI35.9%至99.6%)達到了SRI4的臨床終點。不良事件很少。機制研究顯示,達到終點的5名患者的CD27IgD雙陰性β細胞、轉換記憶B細胞和激活的幼稚β細胞顯著減少,過渡性B細胞增加。特定患者的自身抗體水平有下降的趨勢。兩名患者的Helios+Treg細胞有所增加,但沒有發現其他顯著的T細胞變化。MSC輸注后GARP-TGFβ復合物顯著增加。β細胞的變化和GARP-TGFβ的增加與SLEDAI評分的變化顯著相關。
結論:這項1期試驗表明,臍帶 (UC) MSC輸注非常安全,并且可能對狼瘡有效。β細胞和GARP-TGFβ的變化為MSC影響疾病的機制提供了新的見解。

關于該主題的已知信息
- 間充質基質細胞(MSC)具有顯著的免疫調節作用。到目前為止,主要有間充質干細胞治療狼瘡的小病例系列和非對照試驗,幾乎全部來自中國。因此,間充質干細胞治療狼瘡的療效總體未知,并且在非亞洲患者中的安全性尚未得到證實。
這項研究增加了什么
- 這項研究增加了對混合種族隊列中MSC安全性和免疫活性的評估。MSC輸注后B細胞和GARP的變化是新穎的且之前未報道過。盡管這一I期試驗無法進行療效評估,但缺乏可歸因的不良事件以及5/6患者獲得SRI4的結果支持需要在更大規模的對照試驗中進一步評估療效和毒性。
這項研究可能如何影響研究、實踐或政策
- 如果進一步的對照試驗顯示其有效性,考慮到其安全性,間充質干細胞將成為治療狼瘡的新治療方法,與目前的療法相比,其安全性更好。廣泛的免疫學研究還為狼瘡發病機制和間充質干細胞對免疫系統的作用機制提供了重要的見解。
詳細結果
安全
如表1所示,在52周的試驗中總共出現了21個AE。沒有一個是3級或更高級別,只有4個感覺可能與MSC輸注有關,并且都很快得到解決。這些癥狀包括輕度惡心、感覺異常和潮紅。六名參與者沒有出現與實驗室相關的AE。

臨床反應
入組的6名患者均為女性,平均年齡38歲(范圍26-48歲)。兩名參與者是非裔美國人,一名是西班牙裔,三名是白人。平均病程為8.2年(范圍為3.9-11.7年)。一名患者在兒童時期發病。基線疾病特征見表2。盡管進行了免疫抑制和生物治療,一名患者仍出現難治性橫貫性脊髓炎發作。一名患有腎臟疾病的患者在接受霉苯酯 (MMF) 治療后持續出現蛋白尿。除一名患者外,所有患者均服用羥氯喹和潑尼松。兩名患者使用MMF,一名患者使用硫唑嘌呤和MMF,一名患者使用環孢菌素。其中兩人因多次免疫抑制治療方案失敗而未服用免疫抑制劑。在整個試驗過程中,所有患者均繼續接受基線藥物治療。

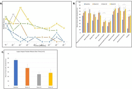
總體而言,接受UC-MSC的6名參與者中有5名(83.3%;95%CI35.9%至99.6%)達到了SRI4至24周的主要緩解標準,并且潑尼松劑量減少至每天10毫克或更少,持續20周。(圖1A、表3)。到第24周,GLMM的結果顯示,SLEDAI評分較基線顯著下降 (p<0.001),從基線平均值8.2(范圍6-11)下降至第2.8周(范圍0-6) 24日,平均下降5.3個單位(95%CI2.7至8.0)。隨著時間的推移,觀察到SF-36評分和LIT的顯著(p<0.05)和持續反應(圖1B和C)。

(A) 試驗過程中SELENA-SLEDAI分數變化的線圖。這是結合實驗室和臨床標準的總分。主要終點是第24周時的SLE反應指數 (SRI) 4)。達到SRI-4終點的5/6患者的SELENA-SLEDAI評分總體顯著下降 (p<0.006)。
(B) 狼瘡影響追蹤器 (LIT) 是指研究期間的影響。從第12周開始,LIT顯著下降,并持續到第52周 (p=0.007)。誤差線表示SD。代表完成試驗至52周的5名患者的分數。
(C) 完成研究的五名患者在給定時間點的SF-36子量表分數??傮w健康狀況(p=0.02)、社會功能(p=0.02)和活力(p=0)顯著提高。004)從第 12 周開始一直持續到第52周。數據代表完成試驗至52周的5名患者的分數。SELENA SLEDAI,紅斑狼瘡中雌激素的安全性國家評估系統性紅斑狼瘡活動指數。

評估了標準實驗室測量。參與者3的蛋白尿從基線(1015mg/g/天)改善到第24周(192mg/g/天),淋巴細胞計數從290增加到1000,C4從9.5mg/dL增加到13.1mg/dL。第24周時,參與者6的抗dsDNA水平從基線>300 IU/mL降至132IU/mL。其他患者均未出現低補體水平或高抗dsDNA水平。
從24周到52周,5名應答者的臨床應答穩定或進一步改善(圖1A和在線補充表1)。5/6名應答者的醫生和患者總體評價均有明顯改善(表3和數據未顯示)。潑尼松可逐漸減少或維持在每天10毫克或更少(表 3)。LIT有持續的反應(圖1C)。隨后,在研究結束后的18到48個月期間,有四名患者的病情復發?;颊?1在輸液后20個月時胸脊髓橫貫性脊髓炎復發。她接受了賽妥生(Cytoxan)和清除術治療,并用間充質干細胞進行了再治療。34個月后,她的病情沒有復發。其他三位參與者的關節炎和皮膚病復發程度較輕,但沒有接受間充質干細胞治療。
這項I期試驗是首次在多種族狼瘡患者中進行的異體間充質干細胞試驗。試驗結果表明,輸注異體加州大學洛杉磯分校間充質干細胞在短期內是安全的,因為我們沒有發生因輸注加州大學洛杉磯分校間充質干細胞而導致的嚴重不良事件,所有不良事件都在2級或2級以下。
讓我們感到鼓舞的是,在接受治療的六名患者中,有五名達到了SRI4的主要終點,這為目前正在進行的II期雙盲多中心療效研究提供了依據。此外,B細胞的明顯變化和血清GARP-TGFβ的增加也令我們感到鼓舞,這表明間充質干細胞具有與臨床效果相同的全身免疫效應。
這項試驗中的患者來自不同種族,年齡也各不相同?;颊叩睦钳彵憩F各不相同。孫博士之前在中國進行的研究主要包括難治性狼瘡腎炎患者,但也包括明顯受累于血液系統和肺出血的患者。
孫博士研究小組的報告中,反應持續時間長短不一。他報告的早期 “反應 “率為65%-70%,4-5年的長期反應率在25%左右。在他的研究組中,有少數患者在5年后疾病活動極少。在我們試驗中的五名 “有反應 “患者中,有一名患者在一次性輸注后3-4年仍有極少的疾病活動(參與者6)。其他四名患者在單次輸液后的18個月至30個月期間,疾病完全或部分復發。參與者1對再治療的反應與孫博士研究小組之前的數據一致,反映出再治療通常是成功的。
此前曾有報道稱間充質干細胞治療人類狼瘡的試驗,其中七項使用了異體衍生細胞,一項使用了自體骨髓衍生細胞。只有一項間充質干細胞治療狼瘡腎炎患者的 “安慰劑對照試驗”,是將間充質干細胞加環磷酰胺與單用環磷酰胺進行比較。
另外兩份關于狼瘡中MSC的報告是來自歐洲的病例報告,其中一份使用自體細胞,但沒有顯示任何改善。最近的一篇論文描述了對三名患有IV級狼瘡腎炎的女性進行UC-MSC的同情使用。他們報告稱,兩名患者完全緩解,第三名患者部分緩解。
迄今為止,唯一報道的MSC在同種異體和自身免疫性疾病中的大型安慰劑對照試驗使用MSC來治療克羅恩病和 GvHD。MSCs在治療接受同種異體骨髓的兒科患者中治療類固醇難治性GvHD方面已被證明有效。間充質干細胞在加拿大、日本和新西蘭被批準用于治療兒科GvHD。在歐盟,通過直接注射到局部區域的方式給予間充質干細胞被批準用于治療克羅恩病患者的難治性瘺管。
結論:這項1期試驗表明,臍帶 (UC) MSC輸注非常安全,并且可能對狼瘡有效。β細胞和GARP-TGFβ的變化為MSC影響疾病的機制提供了新的見解。
如果未來更大規模的試驗證明間充質干細胞在治療狼瘡方面具有顯著療效,那么這種治療方法將適合狼瘡的治療流程。只要用一根臍帶即可治療90-100名患者,就可以生產這種細胞,許多公司和機構正在開發生產供人類使用的MSC的能力??紤]到安全性、輸注的便利性和反應持續時間,如果MSC被證明具有與當前治療相同或更好的療效,那么MSC在狼瘡中的接受和使用可能會得到廣泛的接受和使用。
參考資料:
Kamen DL, Wallace C, Li Z, et al
Safety, immunological effects and clinical response in a phase I trial of umbilical cord mesenchymal stromal cells in patients with treatment refractory SLE
Lupus Science & Medicine 2022;9:e000704. doi: 10.1136/lupus-2022-000704
免責說明:本文僅用于傳播科普知識,分享行業觀點,不構成任何臨床診斷建議!杭吉干細胞所發布的信息不能替代醫生或藥劑師的專業建議。如有版權等疑問,請隨時聯系我。
掃碼添加官方微信