最近,研究人員進行了一項自體干細胞治療女性雄激素性脫發的短期臨床評估的臨床試驗,臨床結果表明自體毛囊干細胞移植治療雄激素脫發的手術被證明是安全有效的,單次治療六個月后即可產生令人滿意的結果。
自體干細胞治療女性雄激素性脫發的短期臨床評估

雄激素性脫發(AGA)是全球最常見的脫發形式。男性和女性脫發的特點都是末端頭發逐漸轉化為細小頭發。到70歲時,至少80%的男性和50%的女性會受到AGA的影響,白種人的發病率更高。AGA的遺傳模式是多基因遺傳,涉及家族中任何一方或雙方的復雜遺傳。在有遺傳傾向的個體中,雄激素在AGA中起著致病作用。在AGA患者中,女性和男性的5還原酶活性都會增加,毛囊中的雙氫睪酮(DHT)水平也會升高。睪酮通過5-α-還原酶轉化為二氫睪酮,這被認為是毛囊萎縮的根本原因。
在毛囊形態發生和毛發正常生長過程中,毛囊干細胞(HFSC)和真皮乳頭細胞(DPCs)起著主導作用。在AGA中,真皮細胞分泌的因子阻礙了毛囊干細胞的分化。據推測,HFSCs位于毛囊外根鞘的隆起區。起源于毛囊的DPCs形成位于毛囊基部的表層乳頭,周圍有大量雄激素受體。HFSCs和DPCs為毛發再生提供了有利條件。在疤痕性脫發(如扁平苔癬和紅斑狼瘡)中,隆起周圍的刺激性細胞入侵會導致高頻間充質干細胞不可逆轉地喪失。盡管祖細胞受到損傷,但高頻間充質干細胞在AGA中仍得以保留,因此這種脫發是可逆的。

社會不斷尋求有效的干預措施,以減少與脫發相關的精神和身體疾病的發病率和經濟負擔。因此,脫發的療法和治療產品已被廣泛研究了數十年。目前,僅有兩種AGA藥物獲得美國食品和藥物管理局(FDA)的批準,即外用米諾地爾和口服非那雄胺。非那雄胺競爭性抑制II型和III型5-α-還原酶同工酶,防止睪酮轉化為二氫睪酮。雖然它可以減緩AGA治療中的脫發,但它并不能完全阻止該過程。考慮到潛在的副作用,如性欲下降、勃起功能障礙、射精量減少和男性乳房發育癥,經歷AGA的男性通常會青睞替代方法。用于治療AGA的外用米諾地爾配方于1987年開發。男女均可使用,以刺激毛發生長;然而,其作用機制仍知之甚少。
- 臨床上,米諾地爾可縮短休止期并刺激毛囊進入生長期,其持續時間也會延長。這種物質的作用是增加頭發的厚度和長度。人類頭皮中的磺基轉移酶將米諾地爾轉化為其活性形式米諾地爾硫酸鹽,但個體間磺基轉移酶活性的差異會影響米諾地爾的功效。除了已批準的療法外,許多未經FDA批準的療法也已證明對治療AGA有效。
據報道,再生醫學療法,例如干細胞和富含血小板的血漿療法,目前被認為是治療脫發的有希望的干預措施。在我們最近的系統綜述中,我們分析了不同干細胞用于治療AGA的情況,其中包括15項研究,涉及653名女性和男性患者。這項研究說明了不同干細胞對頭發密度的影響。分析得出的主要結論是,無論毛發來源如何,干細胞療法對毛發密度都有積極影響。
自體細胞微移植(ACM)是一種通過機械分解和固體組織過濾準備系統從患者頭皮活檢中提取自體成熟干細胞的方法。Gentile等人研究了27個微移植樣本,以確定高頻干細胞。他們的計算顯示,每個微移植包含約4000個細胞,其中DPCs約占4.6%,而HFSCs占2.4%。ACMs在AGA中的作用機制是通過移植成熟的多能干細胞來促進毛細胞再生,并通過注射生長因子來恢復毛發生長信號。然而,確切的機制尚未確定。
自體干細胞治療女性雄激素性脫發的短期臨床評估
在本文中,我們描述了使用Regenera Activa?設備單次應用自體細胞移植治療女性雄激素性脫發的短期臨床療效。這項工作的目的是評估單次注射含有HFSCs和DPCs的ACM對毛發狀況(尤其是毛發色素沉著和密度)的臨床改善效果。
方法:納入23名經臨床和皮膚鏡檢查確診AGA的女性。使用Regenera裝置從每位患者的皮膚上采集了5個2.5毫米的穿刺活檢組織。用Rigeneracons裝置制備細胞懸浮液,然后注射到頭皮的激素依賴性毛區域。

必要的工具包(A);Rigenera?I類醫療器械(B);耳后皮膚的五個微移植活檢組織(C)。
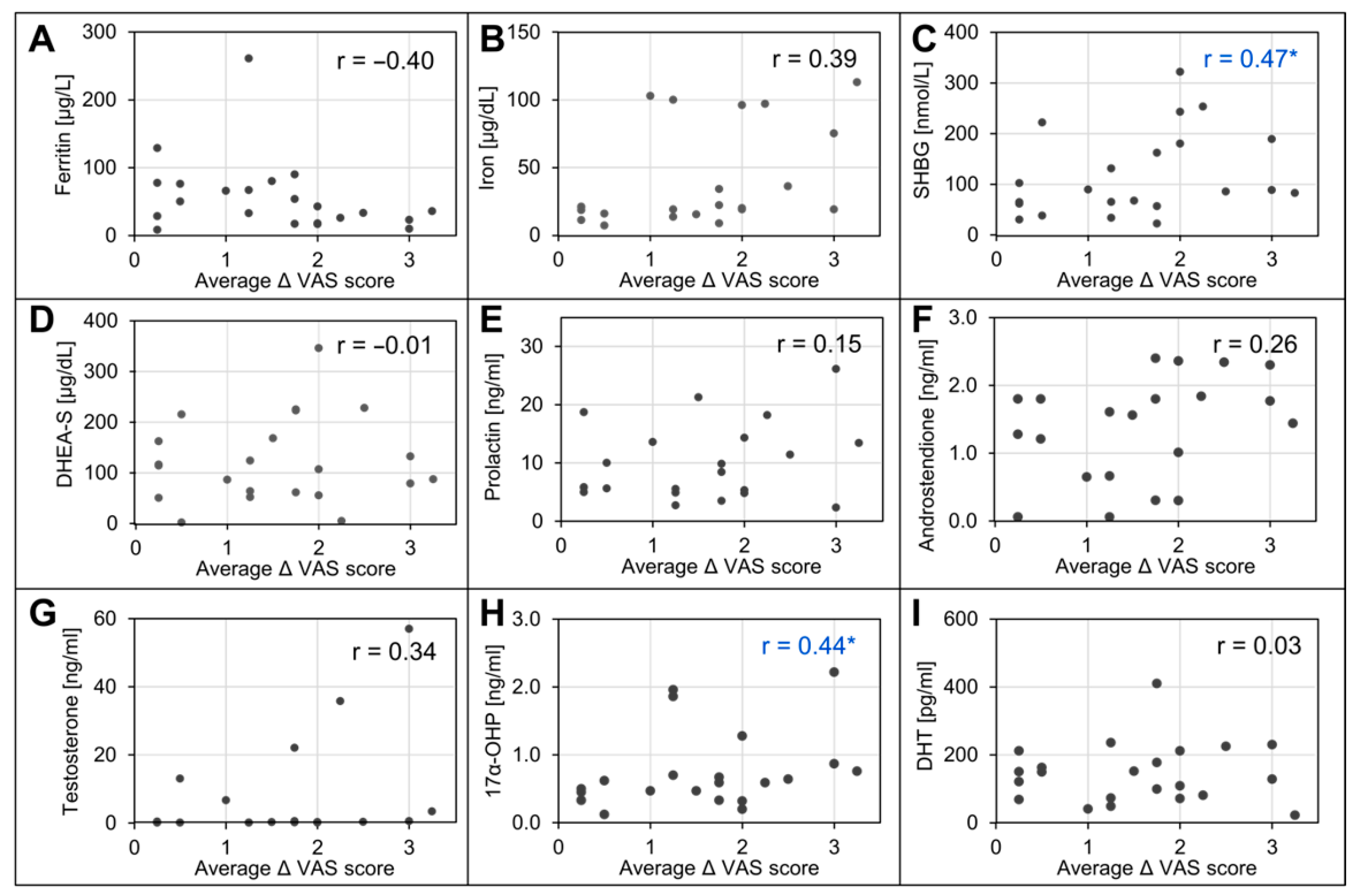
結果:比較術前和術后照片時,視覺模擬量表 (VAS) 顯著改善。VAS評分的變化與基線鐵蛋白濃度呈中度負相關,與鐵濃度呈正相關。改善的結果與較高的性激素結合球蛋白和17α-羥基孕酮基線水平相關。睪酮和雙氫睪酮均未顯示與VAS評分顯著相關。
詳細結果
研究患者的基線特征:共有23名患者為女性,平均 (SD) 年齡為40.1 (12) 歲。根據Ludwig分類,I型占60.9%,II型占30.4%,III型占8.8%。在研究開始時,我們對診斷為AGA的患者進行了實驗室檢查。
表1列出了研究患者的基線特征。符合條件的患者檢測結果顯示,鐵蛋白和鐵水平更接近正常下限。所有患者的促甲狀腺激素(TSH)水平均符合內分泌婦科標準。性激素分析顯示,患者的DHT、硫酸脫氫表雄酮(DHEA-S)、雄烯二酮和睪酮水平沒有異常升高,而性激素結合球蛋白(SHGB)濃度處于正常上限。

ACM治療效果評估:四位獨立專家對HFSC治療前和治療后六個月的患者頭皮照片(圖2)進行了評估。此次評估在VAS量表(表2)的基礎上顯示出顯著的改善,平均提高了1.5分。ACM之后,路德維希量表平均提高了1度。治療后路德維希量表評分和平均VAS評分均顯示出顯著差異,如圖3所示。

- 患者1:一名47歲女性,患有AGA,根據路德維希量表分類為2期頭禿。治療前的照片,中間間隙變寬。ACM六個月后的照片顯示頭皮中央部分的頭發數量和質量都有所改善。
- 患者2:一名26歲女性,患有AGA,根據路德維希量表被歸類為第一期頭禿。治療前的照片,頭頂頭發明顯稀疏,額部發際線保持正常。ACM術后六個月后的照片顯示頭皮頂部的頭發密度有所改善。
- 患者3:一名39歲女性,患有AGA,路德維希量表分類為2期。治療前的照片,中間間隙變寬。ACM六個月后的照片顯示頭皮中央部分的頭發數量和質量都有所改善。

所有四位專家的平均Ludwig評分 ( A ) 和平均VAS評分 ( B )。

結果與基線特征之間的關聯:根據Spearman相關系數的計算評估初始血液參數與臨床結果之間的關聯(圖4)。經半數專家評估,Delta VAS評分顯示與基線鐵蛋白濃度呈中度負相關,與鐵濃度呈正相關;然而,當考慮平均Delta VAS評分時,這種相關性并不顯著。在性激素中,平均更好的結果與較高的SHGB和17α-羥基孕酮初始水平相關。睪酮和雙氫睪酮均未顯示與VAS評分顯著相關。

結論
鑒于雄激素性脫發的治療選擇有限,對表現出可接受的性能水平的替代療法的需求不斷增加。這項研究為自體干細胞移植治療雄激素性脫發的潛力提供了寶貴的見解,并強調了繼續探索和完善自體干細胞移植手術的重要性。
我們對自體干細胞移植手術的研究表明它既安全又有效,單次治療六個月后即可產生令人滿意的結果。未來的研究應旨在收集證據,以便開發出具有成本效益的方法,同時最大限度地減少患者的治療負擔和費用。此外,需要進行長期研究來評估自體干細胞移植手術隨時間推移的持續有效性。
參考資料:Krefft-Trzciniecka, K.; Pi?towska, Z.; Pakiet, A.; Nowicka, D.; Szepietowski, J.C. Short-Term Clinical Assessment of Treating Female Androgenic Alopecia with Autologous Stem Cells Derived from Human Hair Follicles. Biomedicines 2024, 12, 153. https://doi.org/10.3390/biomedicines12010153.
免責說明:本文僅用于傳播科普知識,分享行業觀點,不構成任何臨床診斷建議!杭吉干細胞所發布的信息不能替代醫生或藥劑師的專業建議。如有版權等疑問,請隨時聯系我。
掃碼添加官方微信