2024年11月25日,伊朗德黑蘭Shahid Beheshti醫科大學在國際知名期刊《世界神經外科》上發表了一項間充質干細胞和雪旺細胞聯合治療脊髓損傷Ⅱ期臨床試驗,證明了間充質干細胞和雪旺細胞聯合治療脊髓損傷后患者神經源性膀胱功能障礙得到了顯著改善!

研究結果表明,骨髓間充質干細胞和雪旺細胞聯合鞘內注射顯著改善了完全性脊髓損傷誘發的神經源性膀胱的尿動力學研究參數、尿失禁率和尿失禁生活質量。
什么是脊髓損傷?
脊髓損傷(SCI)是世界上最嚴重的神經系統疾病之一。多見于車禍,跌倒和墜下,運動創傷、擠壓傷和槍傷。
目前,脊髓損傷相關神經源性膀胱 (NGB) 的治療方法主要針對膀胱水平的癥狀,注重預防上尿路損傷和改善尿失禁。因此,需要新的治療策略,旨在更高水平上逆轉脊髓損傷引起的NGB的神經系統損傷。
人們研究了多種治療策略來促進脊髓損傷后的功能恢復,其中干細胞療法逐漸成為一種領先的選擇。先前的研究已經評估了各種細胞類型,以確定哪些細胞類型對治療脊髓損傷最有效。間充質干細胞 (MSC) 因其在脊髓損傷治療中的優勢特性而引起了廣泛關注。
雪旺細胞(SC)因促進神經再生的能力也有治療脊髓損傷的潛力,其源于神經嵴,能分泌多種生長因子刺激神經生長再生,在周圍神經系統髓鞘形成中有關鍵作用,因此將MSC和SC結合使用比單獨使用一種細胞類型有更好的再生效果、能改善脊髓損傷后的恢復結果,二者協同作用為脊髓損傷治療帶來希望。
據我們所知,目前還沒有專門研究聯合細胞治療對脊髓損傷后神經源性膀胱 (NGB) 療效的Ⅱ期臨床試驗。因此,本隨機Ⅱ期臨床試驗旨在評估完全性脊髓損傷后NGB患者接受聯合細胞治療后UDS參數、LUT功能和患者生活質量的變化。
間充質干細胞治療脊髓損傷32例,神經源性膀胱功能顯著改善!
本研究是一項隨機、開放標簽、平行組、陽性對照II期臨床試驗,嚴格遵守《赫爾辛基宣言》中概述的倫理原則。該研究獲得了Shahid Beheshti醫科大學倫理委員會和 Shohada Tajrish 醫院機構審查委員會的批準。該試驗已在伊朗臨床試驗注冊中心注冊(IRCT20200502047277N4)。
方法:2020年11月至2021年8月期間,Shohada Tajrish醫院神經外科對所有完全性脊髓損傷患者進行了資格篩查,隨機化方法隨機分為2組(1:1比例)。共篩選了54名患者以確定其是否符合入選條件,最終本研究招募了32名患者。治療組中有3名患者失訪。(如圖1)

結果
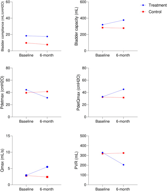
01.尿動力學研究參數
PdetQmax是指最大尿流率時膀胱逼尿肌壓力。Qmax是最大尿流率。PVR指的是排尿后殘余尿量。P detmax指的是最大逼尿肌壓力。
兩個研究組的尿動力學研究參數變化如圖2和表3所示。
- 注射后6個月,間充質干細胞治療組的PdetQmax和Qmax與基線相比顯著增加。
- 注射后6個月,間充質干細胞治療組的PVR和Pdetmax與基線相比也顯著降低。
- 膀胱順應性變化,PVR,Pdetmax,PdetQmax和Qmax,6個月后在間充質干細胞治療組和對照組之間有顯著差異。
- 6個月后膀胱容量也增加,但其變化在兩組之間無顯著差異。間充質干細胞治療組中有3名患者(23.1%)膀胱感覺改善,但對照組無患者報告出現這種變化。
- 此外,在間充質干細胞治療組中3名患有無反射型神經源性膀胱的患者中,有2名(66.7%)在6個月后出現逼尿肌活動過度。在對照組患有無反射型神經源性膀胱的患者中未觀察到這種變化。

02.尿失禁和感染
與對照組相比,間充質干細胞治療組每天平均尿失禁發作次數也顯著減少。但6個月后治療組和對照組之間過去6個月內平均尿路感染發作次數的變化并沒有顯著差異。(見表3)

03.個人生活質量問卷
- ?間充質干細胞治療6個月后,治療組和對照組的I-QOL總分變化有顯著差異。
- 此外,I-QOL問卷的所有3個領域,包括回避行為、社會心理影響和社交尷尬注射后6個月間充質干細胞治療組與對照組相比有明顯改善。(見圖4)

04.多元回歸分析
- 進行多元線性回歸分析,控制年齡、性別、損傷程度和損傷發生后的時間等潛在影響,以評估研究干預對結果測量變化的影響。在這方面,多變量分析表明,研究干預與膀胱順應性的變化、PVR、Pdetmax、PdetQmax和Qmax間存在顯著關聯。
- 同樣,過去6個月尿失禁平均次數的變化與研究干預顯著相關。
- 多變量分析顯示,I-QOL 總分的變化以及回避行為評分、社會心理影響、社交尷尬與研究干預顯著相關。
05.不良事件
本研究觀察到的不良事件包括神經性疼痛、疲勞、感覺異常和痙攣。但在報告的不良事件中,只有3名患者報告的感覺異常可能與干預有關。(見表5)

討論
據我們所知,這項研究是首批專門評估聯合細胞療法對脊髓損傷(SCI)誘發神經源性膀胱 (NGB) 患者泌尿系統變化影響的臨床試驗之一。聯合細胞療法(MSCs和SCs)顯著提高完全SCI患者多種UDS參數、減少尿失禁發作次數、改善失禁相關生活質量。此結果與此前臨床前研究一致,但針對該組合對SCI患者療效的臨床研究較少,此前研究已證明其安全性,此次II期試驗首次專門評估其對SCI誘發NGB的療效。
基于臨床前報告,干細胞治療對SCI誘發NGB中尿動力學研究參數有積極影響的機制眾多。間充質干細胞通過多種機制促進SCI恢復,施萬細胞在神經再生中起重要作用。臨床環境中,本研究鞘內細胞治療6個月后UDS參數有顯著改善,不同研究結果存在差異的原因包括樣本量、研究人群、對照組、細胞給藥方法、細胞類型或劑量等因素。
膀胱功能障礙嚴重影響SCI患者生活質量,泌尿問題是首要健康問題。本研究首次評估細胞療法對SCI – NGB患者失禁特異性生活質量等的影響,結果表明聯合鞘內細胞療法給藥6個月后相關生活質量評分顯著增加。
但研究還存在一些局限性,比如隨訪期僅6個月、患者基線特征有差異、無法實施盲法或用安慰劑、單中心研究等,還缺乏安慰劑對照和盲法,細胞采集具有侵入性導致無法設盲。
結論
綜上所述,本次研究證明了間充質干細胞和雪旺細胞聯合鞘內注射可顯著改善創傷性脊髓損傷誘發神經源性膀胱患者的尿動力學研究參數。此外,這種聯合細胞治療策略可顯著改善患者的生活質量并減少尿失禁發作次數。
雖然這項研究表明聯合干細胞治療對脊髓損傷誘發的神經源性膀胱患者有效,但未來的研究仍需解決不同亞型神經源性膀胱之間的差異,并探索除細胞治療外,在該組患者中使用組合方法。
相關閱讀:想要了解更多關于干細胞治療脊髓損傷的新聞資訊請點擊這里!
參考資料:
Mohammadhosein Akhlaghpasand, Roozbeh Tavanaei, Farzad Allameh, Maede Hosseinpoor, Hossein Toreyhi, Maryam Golmohammadi, Atieh Hajarizadeh, Alireza Alikhani, Maryam Hafizi, Maryam Oraee-Yazdani, Alireza Zali, Saeed Oraee-Yazdani,Improvement of Neurogenic Bladder Dysfunction Following Combined Cell Therapy with Mesenchymal Stem Cell and Schwann Cell in Spinal Cord Injury: A Randomized, Open-Label, Phase II Clinical Trial,World Neurosurgery,2024,ISSN 1878-8750,https://doi.org/10.1016/j.wneu.2024.10.131.
免責說明:本文僅用于傳播科普知識,分享行業觀點,不構成任何臨床診斷建議!杭吉干細胞所發布的信息不能替代醫生或藥劑師的專業建議。
版權說明:本文來自杭吉干細胞科技內容團隊,歡迎個人轉發至朋友圈,謝絕媒體或機構未經授權以任何形式轉載至其他平臺,轉載授權請在網站后臺下方留言獲取。
掃碼添加官方微信